赛分科技Monomix HC60-Boronate硼酸亲和填料以均一的亲水性单分散聚甲基丙烯酸酯为基质。填料表面键合3- 氨基苯硼酸,用于纯化或分析带有顺式二元醇基团的化合物,如糖蛋白、核酸及糖类。填料粒径为60 μm,耐压性好,具有良好的物理化学稳定性,填料表面具有高度亲水性,避免了与生物类样品的非特异性吸附。填料的葡聚糖排阻极限大约为2x106 ,球形蛋白排阻极限大约为5x106 ,可以用于工业纯化。

图1.Monomix HC60-Boronate 硼酸亲和填料化学组成示意图
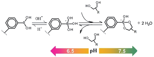
Monomix HC60-Boronate硼酸亲和填料与顺式二元醇化合物的亲和作用,依赖于pH条件。其机理是,在偏碱性的条件下,顺式二元醇化合物分子的两个羟基-OH与硼酸基团配位,形成一个五元环,这种五元环在pH>7.5的缓冲液中能够稳定存在,而当pH降低到6.5以下后,就会 发生解离断裂。Mg 2+可以增强这种五元环的结合能力,结合到 上的二元醇分子也可以通过一些带二元醇的化合物洗脱下来,如山梨醇和甘露醇。

图2.Monomix HC60-Boronate 硼酸亲和填料作用原理
|
填料类型
|
Monomix HC60-Boronate |
|---|---|
|
基质
|
均一的亲水性的聚甲基丙烯酸酯 |
|
粒径大小
|
60 μm |
|
Boronate载量
(μmol/mL填料) |
10-30 μmol 山梨醇 |
|
最大线性流速
|
1800 cm/h |
|
操作温度
|
≤40℃ |
|
pH适用范围
|
2-12 |
|
操作压力
|
≤1 Mpa(10 bar) |
|
流动相兼容性
|
1. 与水溶液,水和乙腈,丙酮或甲醇的混合物容。典型的缓冲液:磷酸盐,乙酸盐和HEPES,MES,不含伯胺的缓冲盐体系。 2. 使用pH <6.5的缓冲液或含顺式二醇的试剂可能会影响吸附。 |
|
长期保存方法
|
50%(v/v),保存于20%乙醇中或2%苯甲醇中,2-8℃ |
|
再生
|
一般用2.0-3.0 M NaCI |
|
清洗
|
一般在2-10℃条件下用3-10倍柱体积的0.1-0.5 M NaOH清洗。 |
1.mRNA 结合能力测试基于 1000 nt mRNA样品,结合条件为 10 mM Tris-HCl,1mM EDTA,5mM DTT,1.0M NaCl, pH 7.0。
| 填料种类 | 粒径(µm) | 订货号 |
|---|---|---|
| Monomix HC60-Boronate | 60 | 285960950 |
预装柱规格为1、4.2 &5 mL,包装规格为5 L以下及5 L、10 L、50 L